Time_MAq
简述
建议使用ARMA模型替换,移动平均模型,MA(q)模型,用条件最小二乘法去估计q阶移动平均模型的系数,返回结果有移动平均系数、残差方差、预测值及预测波动。
估计过程如下:
MA(q)模型:

具有逆转形式:
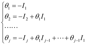
用算子形式比较,可得:

s
条件最小二乘法使得下列残差平方和最小:
可将上述转化为矩阵形式,先求得

的取值,在利用上上式计算移动平均系数
如有常数,则常数项为原序列的均值

。

,

为自协方差
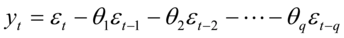
其中:yt为原序列零均值化的新序列,μ为原序列的均值,θq为移动平均系数,εt是零均值,方差为σ2的平稳白噪声
Time_MAq(y:Array;Q:Integer;L:Integer):Array;
| 名称 | 类型 | 说明 |
|---|
| Y | Array | 样本序列,为一维数组类型; |
| q | Integer | 移动平均阶数; |
| l | Integer | 预测步长; |
{已知一个MA模型,通过产生样本去模拟MA模型,求出拟合系数再跟原模型系数比较}
elps:=Randnorm(0,1,200);
y:=array();
y[0]:=0;
y[1]:=0;
for i:=2 to 199 do
y[i]:=elps[i]-0.9*elps[i-1]+0.3*elps[i-2];
return Time_MAq(y,2,0);
结果:
AR ARMA