天软金融分析.NET函数大全 > TSL函数 > 数学函数 > 时间序列分析

Time_DanielTest    

简述
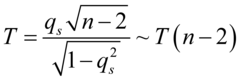
在1-alpha置信水平下,进行随机时间序列的Daniel平稳性检验。返回结果为一个数组,第一个为q值(q>0:序列有上升趋势,q<0:序列有下降趋势),第二个为T统计量,第三个为p值,第四个为是否接受原假设。原假设为x是平稳序列,所以H为1表示接受原假设,0表示拒绝原假设


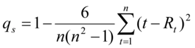
其中:qs是Spearman相关系数,Rt为秩统计量,n为样本容量
定义
Time_DanielTest(Y:Array of Real;Alpha:Real):Array
参数
名称类型说明
YArray of Real随机时间序列,为一维数组类型
AlphaReal显著性水平,实数类型,取值在0-1之间
  • 范例

    //检验上证指数的平稳性
    SetSysParam(pn_date(),inttodate(20101222));
    N:=40;
    SetSysParam(pn_stock(),"SH000001");
    y:=Nday3(N,StockZf3());
    alpha:=0.05;
    return Time_DanielTest(y,alpha);

    结果:

    表示日期20101222推前总共40个数据的上证指数为平稳序列
    参考
    Times_ADFTest Times_Cointergration_test Times_ECM 
相关