天软金融分析.NET函数大全
>
TSL函数
>
数学函数
>
时间序列分析
Time_ACF
复制链接
简述
自相关系数,计算随机序列与所有滞后阶数的相关系数。
定义
Time_ACF(y:Array of Real):Array of Real;
参数
名称
类型
说明
y
Array of Real
数组,样本序列;
p:整数,返回样本自相关系数序列的长度,默认值为3,允许缺省;
取值
说明
正整数
返回滞后阶数为(0、1、...、p-1)的自相关系数序列
缺省
返回所有滞后阶数(0、1、...、样本序列长度)的自相关系数序列
返回
Array of Real
数组。数组的第一个元素是滞后阶数为0的样本自相关系数,依次类推。
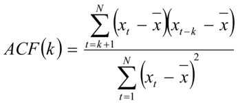
算法
其中N为序列x的长度,
为序列x的均值,k为滞后阶数。
范例
y:=array(64.00,60.00,60.1,59.95,61.5,71.5,75.05,77.5,73.2,75.3);
return Time_ACF(y);
结果:
array(1.00,0.7607,0.4403,0.0142,-0.2972,-0.4878,-0.4229,-0.284,-0.1641,-0.0593)
参考
Time_PACF
Time_RandomTest
AR
ARMA
相关
Time_Diff
Time_AutoCov
Time_ACF
Time_PACF
Time_RandomTest
Time_DanielTest
AR
ARMA
Time_ARCH
Time_GARCH
Times_ADFTest
Times_Cointergration_test
Times_ECM
Times_Granger
Time_ARp
Time_MAq
Time_ARMA
Time_GreenFun
Time_InvFun
Time_Analyse
Time_ChoseP
Times_Cointergration
GM_Estimate
Time_ARCHTest
GarchFit
Times_johansen
Times_GrangerCausality
因果推断