天软金融分析.NET函数大全
>
TSL函数
>
数学函数
>
时间序列分析
Time_PACF
复制链接
简述
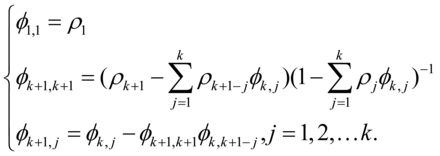
偏自相关系数,计算随机序列与所有滞后阶数的偏自相关系数,返回结果是一个数组。偏相关系数的计算公式如下:
是自相关系数,
是偏相关系数
定义
Time_PACF(y:Array of Real):Array of Real
参数
名称
类型
说明
y
Array of Real
样本序列,为一维数组类型
范例
y:=array(64.00,60.00,60.1,59.95,61.5,71.5,75.05,77.5,73.2,75.3);
return Time_PACF(y);
结果:
array(1.00,0.7607,-0.3281,-0.4815,-0.0442,-0.0491,0.2401,-0.1081,-0.4253,0.027)
参考
Time_ACF
Time_RandomTest
AR
ARMA
相关
Time_Diff
Time_AutoCov
Time_ACF
Time_PACF
Time_RandomTest
Time_DanielTest
AR
ARMA
Time_ARCH
Time_GARCH
Times_ADFTest
Times_Cointergration_test
Times_ECM
Times_Granger
Time_ARp
Time_MAq
Time_ARMA
Time_GreenFun
Time_InvFun
Time_Analyse
Time_ChoseP
Times_Cointergration
GM_Estimate
Time_ARCHTest
GarchFit
Times_johansen
Times_GrangerCausality
因果推断