天软金融分析.NET函数大全 > 金融报表分析 > 教学范例 > 数值分析 > 特殊函数

Demo_sf_Beta    

简述
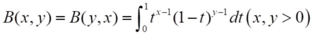
sf_Beta()函数教学函数。贝塔函数,带入变量x=1.5,y=2.5求积分值。
定义
Demo_sf_Beta():real
参数
名称类型说明
返回real实数
  • 算法

    范例

    return Demo_sf_Beta();
    //返回:0.20
相关