天软金融分析.NET函数大全 > 金融报表分析 > 教学范例 > 数值分析 > 特殊函数

Demo_sf_IncompleteBeta    

简述
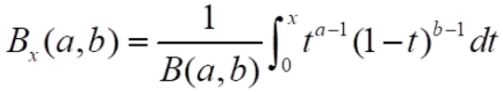
sf_IncompleteBeta()函数教学函数。不完全贝塔函数,带入参a=1,b=2,自变量x=0.2求积分值。
定义
Demo_sf_IncompleteBeta():real
参数
名称类型说明
返回real实数
  • 算法

    范例

    return Demo_sf_IncompleteBeta();
    //返回:0.36
相关