天软金融分析.NET函数大全
>
TSL函数
>
数学函数
>
回归
>
回归检验
boxcox
复制链接
简述
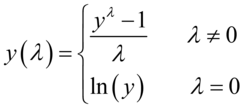
在做线性回归的过程中,不可观测的误差可能是和预测变量相关,于是给线性回归的最小二乘法估计系数的结果带来误差,为了解决这样的方差齐性问题,所以考虑对相应应变量做Box-Cox变换,变换之后,可以一定程度上减小不可观测的误差和预测变量的相关性
Lambda由程序根据y求出最佳值
定义
Boxcox (Y: Array of Real):Array
参数
名称
类型
说明
y
Array of Real
因变量序列,为一维数组类型
范例
data := rand(100);
return boxcox(data);
结果:
参考
Regress_Stepwise
Regress_pri
Regress_Ridge
Regress_VIF
相关
Regression_WLS
Regress_MLS
Regress_CMLS
Regression
Regress_Stepwise
Regress_pri
Regress_Ridge
Regress_NLM
Regress_Binary
Regress_Logistic
Regress_Constraint
Regress_RSquare
Regress_AdjustedR2
Regress_FTest
Regress_TTest
Regress_DWTest
Regress_JBTest
Regress_AicAndSbic
Regress_White
Regress_WLS
Regress_QRlsq
Regress_VIF
boxcox
Regress_TTest_RWLS
Regress_HettestSpearman
Regress_TTest_White
Regress_TTest_NW
Regression_OLS_White
Regression_OLS_NW
NW_Adjustment_Simplification
Robustfit_M
Regress_GRStest