天软金融分析.NET函数大全 > TSL函数 > 数学函数 > 回归 > 回归检验

Regress_AicAndSbic    

简述
信息准则函数,判断序列的最佳滞后阶数,分别计算AIC和SBIC统计量,并把结果赋值到一个一维数组,第一个是Aic值,第二个Sbic值。当选择最佳滞后阶数时,统计量越小越好。
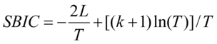
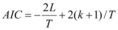
AIC和SBIC的表达式如下所示:



其中:T为样本容量;k为自变量个数;u为残差;
定义
Regress_AicAndSbic(u:array;k:Integer;T:Integer):array
参数
名称类型说明
uarray回归方程的残差序列,为一维数组类型;
KInteger解释变量的个数;
TInteger样本的容量,整数类型;
  • 范例


    U:=array(0.245863,0.056726,-0.145411,-0.287547,-0.410684,0.012821,0.073042,0.201905, 0.136768);
    return Regress_AicAndSbic(u,1,9);

    结果:
    参考
    Regress_CMLS Regression 
相关