天软金融分析.NET函数大全 > TSL函数 > 数学函数 > 统计推断

Hypoth_LSUTest    

简述
单个或两个总体大样本的均值检验,即大样本U检验,返回的结果是一个数组,第一个数为统计值,二为p值,三为原假设的值(0表示拒绝,1表示接受)
模型表达
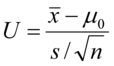
单个总体大样本的均值原假设:tail取值both:;left:;right:
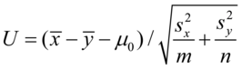
两个总体大样本的均值假设:tail取值both:;left:;right:
检验统计量:

其中:x为样本x的均值,y为样本y的均值,为正态总体x方差,为正态总本y方差,m,n分别为样本x和y的容量s
定义
Hypoth_LSUTest(mx:array;s:array;n:array;u:Real;tail:String;alpha:Real):array;
参数
名称类型说明
mxarray样本均值数组,第一行为样本1,第二行为样本2,为一维数组类型
s样本方差数组,第一行为样本1,第二行为样本2,为一维数组类型
narray样本容量,第一行为样本1,第二行为样本2,为一维数组类型
uReal单个总体时,为假设检验均值,两个总体时,为均值差
tailString假设检验类型
AlphaReal显著性水平,实数或整数,在01之间
相关