Hypoth_TNDTest
简述
两个正态总体方差比的F检验,返回的结果是一个数组,第一个数为统计值,二为p值,三为原假设的值(0表示拒绝,1表示接受)
模型表达:
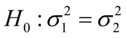
原假设:tail取值both:

;left:

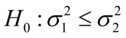
;right:
检验统计量:
其中:Sx为x的样本标准差,Sy为y的样本标准差
Hypoth_TNDTest(X:Array of Real;tail:String;alpha:Real):array;
| 名称 | 类型 | 说明 |
|---|
| X | Array of Real | 样本序列矩阵,第一行为样本1,第二行为样本2,为二维数组类型 |
| tail | String | 假设检验类型 |
| Alpha | Real | 显著性水平,实数或整数,在01之间 |
X:=array((0.140,0.138,0.143,0.141,0.144,0.137),(0.135,0.140,0.142,0.136,0.139));
tail:="both";
alpha:=0.1;
return Hypoth_TNDTest(X,tail,alpha);
结果:
表示接受原假设,则方差相同
Hypoth_SNUTest Hypoth_TNUTest Hypoth_SNDTest Hypoth_LSUTest