TSL语言基础 > 数学与统计教程 > 统计推断 > 参数估计

比率p的区间估计    

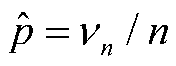
  •   比率指总体中具有某种特征A的个体所占的比重p,等于自总体的随机抽样抽到具有特征A的个体的概率。比率的估计,就是某个事件A出现的概率的估计,包括点估计和区间估计。我们以表示n次独立重复试验事件A出现的次数。
      
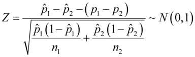
      试验正态分布来逼近,当样本容量足够大,我们有:
              (6.15)
      
      同理可以求得的单侧置信下界:
      单侧置信上界

    单个总体比率的区间估计Estimate_SP

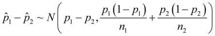
      两个总体的比率或说概率差的置信区间:
              (6.16)
              (6.17)

    求两个总体的比率或说概率差的置信区间Estimate_TP
相关