天软金融分析.NET函数大全 > 金融函数 > 金融工程 > 指数研究

StockVsIndexKLine    

简述
股票与大盘指数叠加
定义
StockVsIndexKLine(Stocks;IndexName;Stocks2;FirstValue;BegT;EndT;RateType;bonusInfection;NewStockToIndex;ShowCycleName;ShowType):TableArray
参数
名称类型说明
StocksString字符串,股票代码,以分号分割
IndexNameString字符串,指数代码
Stocks2String字符串,股票代码,以分号分割
FirstValueinteger用户自定义,开始日指数取值,含义如下表:
显示名
指数首日收盘-1
取1000点1000
BegTTDateTime日期型时间,开始时间
EndTTDateTime日期型时间,截止时间
RateTypeinteger用户自定义,计算方法,含义如下表:
显示名
总市值加权0
流通市值权1
总股本加权2
流通股本加权3
等权重4
等股数5
流通市值平方根加权6
总市值平方根加权7
bonusInfectionBoolean布尔类型,是否考虑分红
NewStockToIndexinteger整数,新股计入指数日
ShowCycleNameString周期函数,显示周期
ShowTypeinteger用户自定义,返回类型,0表示图形,1表示数据
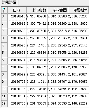
返回Array,TableArray股票与大盘指数叠加
  • 范例

    Return StockVsIndexKLine("SH600718",

    "SH000001",

    "SH600567",

    -1,

    inttodate(20120618),

    inttodate(20120926),

    1,true,2,cy_day(),1);

    //结果:
相关