天软金融分析.NET函数大全 > 金融函数 > 债券 > 债券敏感性指标 > 中间函数

BondMacaulayDuration2_sub    

简述
麦克劳林久期(不处于最后付息周期的定期付息债),与系统证券pn_stock()有关。
定义
BondMacaulayDuration2_sub(PV:Real;C:Real;f:Int;y: Real;d:Int;n:Int;M: Real;TS:Int):Real
参数
名称类型说明
PVReal实数,债券全价
CReal实数,票面年利息
fInt整数,年付息频率
y Real实数,到期收益率
dInt整数,债券结算日至下一最近付息日之间的实际天数
nInt整数,结算日至到期兑付日的债券付息次数(剩余付息次数)
M Real实数,债券面值
TSInt整数,当前付息周期的实际天数
返回Real实数
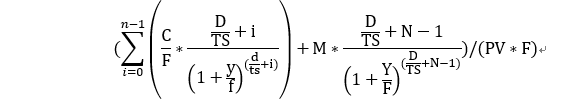
  • 算法

    不处于最后付息周期定期付息债的久期=
    范例

    //返回“SH010107”的麦克劳林久期(不处于最后付息周期的定期付息债)
    Setsysparam(pn_Stock(),"SH010107");
    return BondMacaulayDuration2_sub(107.1642,4.26,2,0.033429,175,18,100,184);
    //结果:7.6
相关