天软金融分析.NET函数大全
>
TSL函数
>
数学函数
>
灰色系统
GM_Icorr
复制链接
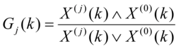
简述
灰色改进关联度,返回的是关联度矩阵
,
,
,
,
定义
GM_ICorr(X:Matrix;L:Integer):array
参数
名称
类型
说明
X
Matrix
数据矩阵,为二维数组类型;
l
Integer
参考序列标号,为整数类型
范例
x:=array((1,2,3),(2,3,4));
return GM_ICorr(x,1);
结果:
参考
GM_Initial
GM_Corr
GM_AGO
GM_Scorr
GM_Estimate
相关
GM_Initial
GM_Corr
GM_AGO
GM_Icorr
GM_Scorr