事件或变量的独立性,既是许多统计推断方法的前提条件,又是统计推断的对象。独立性检验,指关于独立性假设“事件(或变量)相互独立”的检验;检验一般以用列联表表示的联合频数分布为基础。
随机变量X,Y的分布函数分别是

,

,且联合分布为

,则X与Y的独立性问题归结为假设检验问题:
首先,我们先介绍列表检验法:
列表检验法是非常重要且简便易行的一种非参数检验,它既可以用于独立性,样本齐一性和随机性等假设的检验。
若X,Y是分类变量,分别有r种取值,nij标示Xi与Yj同时出现的频数
表7-2 r*s列联表
| Y1
| Y2
| …
| Ys
| 总和
|
X1
| n11
| n12
| …
| n1s
| n1.
|
…
| …
| …
| …
| …
| …
|
Xr
| nr1
| nr2
| …
| nrs
| nr.
|
总和
| n.1
| n.2
| …
| n.s
| n
|
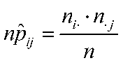
这样独立性的原假设,我们可以写成
其中

,从而

,

同时出现的频数应该是

,由此构建我们的统计量:
(6.21)
独立性检验模型:
Hypoth_IndepTest