TSL语言基础 >
数学与统计教程 >
统计推断 >
参数的假设检验
单正态总体参数的检验
假设总体

,

是来自总体

的简单随机样本;

是样本均值,

是样本方差,

是样本容量。
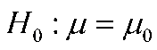
Both假设:

;right假设:

;left假设:
与区间估计一样,假设检验分两种情况:

已知及

未知

已知时,

(6.2)
Both假设的拒绝域是
Right假设的拒绝域是
Left假设的拒绝域是

未知时,

,其中

(6.4)
Both假设的拒绝域是
Right假设的拒绝域是
Left假设的拒绝域是
单个正态总体的均值检验模型:
Hypoth_SNUTest
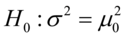
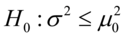
Both假设:

;right假设:

;left假设:

(6.6)
Both假设的拒绝域是
Right假设的拒绝域是
Left假设的拒绝域是
单个正态总体方差的卡方检验模型:
Hypoth_SNDTest