TSL语言基础 > 数学与统计教程 > 统计推断 > 参数估计

两正态总体参数区间估计    

  •   ,两个样本的容量都是m,n.的置信区间:
      已知时,
              (6.8)
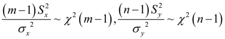
      未知,但相等,,两样本相互独立我们可以得到:
            (6.9)
      由式7.8及7.9,我们可以知道:
        (6.10)
      其中:
      已知,不相等时
            (6.12)
      其中

    标准差未知和已知两种情况求两个正态总体均值差的置信区间模型Estimate_TNU

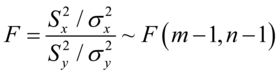
      方差之比的置信区间:两样本相互独立我们可以得到:
              (6.13)
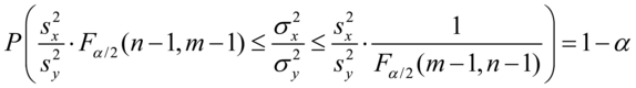
      同样由得到:
        (6.14)
      同理可以求得的单侧置信下界:
    单侧置信上界
      

    求两个正态总体方差之比的置信区间Estimate_TND
相关