TSL语言基础 > SQL基础到TS-SQL > TS-SQL语法 > SELECT查询语句 > 聚集函数

VarOf    

简述
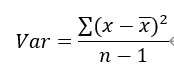
返回给定表达式中所有值的统计方差(样本方差)。


VAROF 只用于数字列。空值将被忽略。
定义
VAROF(Expression:TExpression[;BoolConditionExp:TExpression[;N:Integer[;MovingFirst:Bool[;CacheId:String]]]]):real
参数
名称类型说明
ExpressionTExpression数字数据类型表达式。参见多字段聚集。可在表达式前加关键字DISTINCT,表示不管该值出现了多少次,只使用每个值的唯一实例。不添加即统计所有。
BoolConditionExpTExpression布尔型表达式,如果存在该参数,则统计内容为该表达式为真的行,否则统计所有。
Ninteger整数,如果没有N参数,则统计对象为全部,否则统计对象为满足条件的从当前行起往前总共的N条记录, 如果为负数,则为从当前起往后总共|N|行。
MovingFirstBoolean布尔型,为真表示统计内容为最近N条内符合BoolConditionExp条件的,为假表示统计内容为最近N条符合BoolConditionExp条件的。默认为假,此省略模式可以通过SelectOpt(64)进行变换,具体参见:SELECTOPT(Options)
CacheIdString字符串型,缓存标识串,参见:SQL时间序列统计缓存标志与性能加速
返回realReal

  • 算法


    范例

    Table1 := Array(
    ('A':5,'B':20,'C':34),
    ('A':5,'B':20,'C':34),
    ('A':9,'B':20,'C':34),
    ('A':7,'B':18,'C':34));
    Return VSelect VarOf ( ['A']) from Table1 end;//返回结果3.66666666666667
相关