TSL语言基础 > 数学与统计教程 > 时间序列分析

ARCH波动率模型    

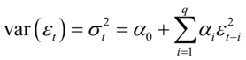
  •   在传统计量经济学模型中,干扰项的方差被假设为常数。但是许多经济时间序列呈现出波动的集聚性,在这种情况下假设方差为常数是不恰当的。我们可以使用Time_ARCH函数来检验回归残差是否服从同方差。
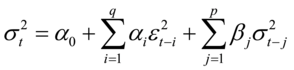
      为了刻画这种异方差性,Engel(1982)提出了ARCH模型,即自回归条件异方差模型。该模型的一般形式如下:
      均值方程:

      方差方程:
      均值方程是外生变量向量。方差方程表示的条件方差由两部门构成,常数项和ARCH项。为保证条件异方差始终为正,要求方差方程中非负,为保证自回归的稳定性,必须限制
      GARCH 模型:ARCH(p)模型解决了时间序列中的异方差问题,但在实际应用中常出现的条件方差依赖于很多期之前的变化量,因此必须估计很多个参数;另外,对大多数的q,无限定约束的估计常常会违背非负的限定条件。为此,Bollerslev(1986)扩展了Engle的原始模型,提出了广义的自回归条件异方差GARCH模型,在方差方程中用一个或两个的滞后项代替很多个的滞后值。一个高阶的ARCH模型可以由一个更为简洁、更易识别估算的低阶GARCH 模型来表达。GARCH(p,q)模型的方差方程的一般形式如下:

      方程右边的是ARCH项,是GARCH项,q是ARCH项的阶数,p是GARCH项的阶数,为保证方差为正,要求方差方程所有系数为正。
      非对称的 ARCH 族模型:在金融时间序列的研究中经常会发现这种现象:不同信息的冲击常常表现为非对称的效应,即好消息和坏消息的冲击对波动性的影响程度不同。就许多股票而言,当前收益和未来波动之间有很强的负相关,收益增加时波动性减小,收益减小时波动性增加,这一趋势通常被称为杠杆效应。TARCH或GJR模型由Zakoian和Glosten,Jafanathan,Runkle(1994)提出,该模型中的方差方程如下:

      其中是一个虚拟变量,当,其余情况为0,为非对称项,只要,就存在非对称效应:好消息会有倍的冲击,而坏消息会有倍的冲击。如果系数显著不为0,我们就可以得到结论:数据包含非对称效应(门限效应)。如果,负冲击对波动性的影响大于正冲击,非对称效应的主要效果是使得波动加大,存在扛杆效应;如果,则非对称效应的主要效果是使得波动减小。
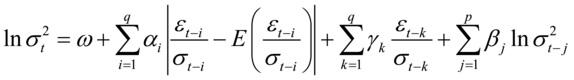
      指数GARCH模型或EGARCH模型是由Nelson(1991)提出的,采取条件方差对数的形式,方差方程形式如下:

      等式左边是条件方差的对数,这意味着杠杆效应影响是指数而不是二次的,所以方差的预测一定是非负,在估计时对系数无需增加非负的限制,只要,冲击的影响就存在着非对称性。只要,出现利好消息时,会带来的冲击。而出现利空消息时,会带来的冲击。
    GARCH-M模型:我们在GARCH模型的均值的末端加上一个条件异方差,就可以得到GARCH-M模型,该模型的方差方程和GARCH的方差方程是一样的。

    这样模型就可以衡量模型的波动对被解释变量的影响了。

    广义自回归条件异方差模型GarchFit
    时间序列异方差的ARCH检验模型Time_ARCHTest