TSL语言基础 > 数学与统计教程 > 统计分布

贝塔分布    

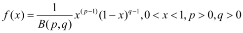
  •   概率论中还有一种称为贝塔分布的概率密度分布函数(如图5-20).它的数学形式:
         (5.34)


    图5-20贝塔分布概率密度

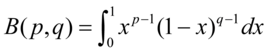
      这里的变量x仅能出现于0到1之间,p,q是两个大于0的参数.B(p,q) 的含义是:
              (5.35)

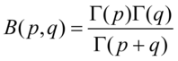
      它与函数,有如下关系:
               (5.36)


    相关函数:
    sf_betapdf(x:array,a:real,b:real,v:array)
    sf_betacdf (x:array,a:real,b:real ,v:array)
    sf_betainv1(y:array,a:real,b:real,v:array)
    Randbeta(a:real,b:real,row:Integer,col:Integer)
    各参数说明:
    x:随机变量 ,实数,一位数字数组,二维数字数组
    y:分布函数值,实数,一维数字数组,二维数字数组
    a:beta分布参数1,实数,大于0;
    b:beta分布参数2,实数,大于0;
    v:返回变参,概率或累计概率或随机变量,维度和函数第一个变量一致
    row:行数,也可以是行名数组
    col:列数,也可以是列名数组
    更多请参考各函数帮助说明:
    sf_betapdfsf_betacdfsf_betainvRandbeta