TSL语言基础 > 数学与统计教程 > 统计分布

伽玛分布    

  •   伽玛分布是统计学的一种连续概率函数。gam分布中的参数,称为形状参数,称为尺度参数。
    ,且令,即
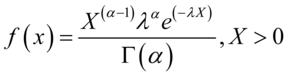
      概率密度:
      
      ,  ,  
      我们一般使用:
      来计算分布的概率密度.
      分布函数:直接调用不完全gam函数得到.
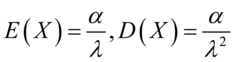
      数字特征:
        
      加成性:当两随机变量服从Gamma分布,互相独立,且单位时间内频率相同时,Gamma分布具有加成性.
      (5.33)

    图5-19 gam分布概率密度图


    相关函数:
    sf_gampdf(x:array,a:real,b:real,v:array)
    sf_gamcdf (x:array,a:real,b:real,v:array)
    sf_gaminv(y:array,a:real,b:real,v:array)
    Randgam(a:real,b:real,rowNum:Integer,colNum:Integer)
    各参数说明:
    x:随机变量 ,实数,一位数字数组,二维数字数组
    y:分布函数值,实数,一维数字数组,二维数字数组
    a:形状参数,大于0的实数
    b:尺度参数,大于0的实数
    v:返回变参,概率或累计概率或随机变量,维度和函数第一个变量一致
    row:行数,也可以是行名数组
    col:列数,也可以是列名数组
    更多请参考各函数帮助说明:
    sf_gampdfsf_gamcdfsf_gaminvRandgam