TSL语言基础 > 数学与统计教程 > 统计分布

均匀分布    

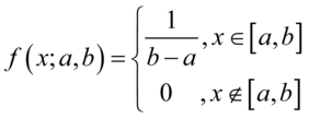
  •   称随机变量服从上的均匀分布如果它有密度:
               (5.8)

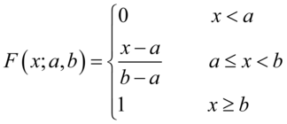
      分布函数:
              (5.9)

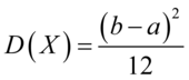
      数字特征:
        
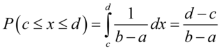
      均匀分布具有下属意义的等可能性.若,则落在内任一子区间上的概率:
            (5.10)

      只与区间的长度有关,而与他们的位置无关.

    相关函数:
    sf_unifpdf(x:array,a:real,b:real,v:array)
    sf_unifcdf (x:array,a:real,b:real,v:array)
    sf_unifinv (y:array,a:real,b:real,v:array)
    Randunif(a:real,b:real,row:Integer,col:Integer)
    uniffit(x:array,alpha:Real);
    各参数说明:
    x:随机变量 ,实数,一位数字数组,二维数字数组
    y:分布函数值,实数,一维数字数组,二维数字数组
    a:均匀分布的下限,实数
    b:均匀分布的上限,实数;
    v:返回变参,概率或累计概率或随机变量,维度和函数第一个变量一致
    row:行数,也可以是行名数组
    col:列数,也可以是列名数组
    alpha:显著性水平,为0,1之间的实数,缺省为0.05
    更多请参考各函数帮助说明:
    sf_unifpdfsf_unifcdfsf_unifinvRandunifuniffit