TSL语言基础 > 数学与统计教程 > 多元统计分析 > 判别分析

贝叶斯判别    

  •   距离判别简单直观,很实用,但是距离判别的方法把总体等同看待,没有考虑到总体会以不同的概率(先验概率)出现,也没有考虑误判之后所造成的损失的差异。一个好的判别方法,既要考虑到各个总体出现的先验概率,又要考虑到错判造成的损失,Bayes判别就具有这些优点,其判别效果更加理想,应用也更广泛。
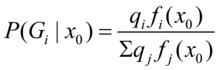
      设有总体,具有概率密度函数。并且根据以往的统计分析,知道出现的概率为。即当样本发生时,求他属于某类的概率。由贝叶斯公式计算后验概率,有:
                   (4-16)
        
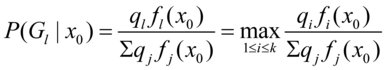
      则判给。在正态的假定下,为正态分布的密度函数。